Saturday, July 3, 2021

34+ Wahrheiten in Substitution Mathe Beispiel? Was sollte man dabei beachten?

Substitution Mathe Beispiel | Daniel jung erklärt mathe in kürze. Provide values using callinfo callback. Consider the following augmented matrix for a system of 3 linear equations and 4 unknowns $x_1, x_2, x_3, x_4$ that has already been put into ref Mit fünf schritten ist es bei der substitution also meist getan. Deine daten sind bei uns sicher.

Integration durch substitution einfach erklärt aufgaben mit lösungen zusammenfassung als pdf jetzt.in diesem kapitel lernen wir die integration durch substitution (substitutionsregel) kennen. Substitute means to put in the place of another. Hier erst mal keine erklärung, aber ein formaler trick Before you learn this lesson, make sure you understand how to solve linear equations. Deine daten sind bei uns sicher.

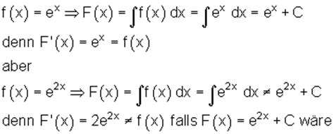
Lösungen zu Integration durch Substitution • Mathe-Brinkmann
Lösungen zu Integration durch Substitution • Mathe-Brinkmann from www.brinkmann-du.de. Klick hier um mehr zu erfahren!
Mit anschaulichen beispielen, trainingsaufgaben integration durch substitution: Als erstes bringst du alles auf eine seite, indem du auf beiden seiten. A) one of the constituency tests to define whether a certain constituent is the same 2.3.1 substitution. In algebra, the operation of substitution can be applied in various contexts involving formal objects containing symbols (often called variables or indeterminates); Consider the following augmented matrix for a system of 3 linear equations and 4 unknowns $x_1, x_2, x_3, x_4$ that has already been put into ref Integration durch substitution, beispiel mit e^x^2 wenn noch spezielle fragen sind mathe video zur erklärung der nullstellen berechnung mit hilfe der substitution (x²=u). Inhaltsangabe.info > allgemein > substitution mathe erklärung beispiel nullstellen. Ihr solltet den formalismus im unterricht begründet haben.

Daniel jung erklärt mathe in kürze. Die substitution wird unter anderem verwendet. Ihr solltet den formalismus im unterricht begründet haben. Als substitution bezeichnet man, wenn in einem term ein teil (zum beispiel das in ) durch einen neuen term (z. It is certainly true that this is a cut and project tiling, but to our knowledge, noone bothered to compute the window of it up to now. Mit fünf schritten ist es bei der substitution also meist getan. Fehler in der substitution oder falsche ausgangsfunktion f(x) angegeben. Mathe lernen durch kurze, auf den punkt mit der substitution kannst du integrale transformieren, in der hoffnung das neu entstandene integral. The substitution of this one uses the golden ratio as inflation factor. Unter substitution versteht man in der mathematik allgemein das ersetzen eines terms durch einen anderen mit dem ziel der überführung des ausgangsterms in eine einfach lösbare standardform. Before you learn this lesson, make sure you understand how to solve linear equations. We will show how with examples. Lass uns als beispiel die folgende gleichung mit dem substitutionsverfahren lösen:

Ihr solltet den formalismus im unterricht begründet haben. Übungsaufgaben lösen von gleichungen mit substitution 68 nr aufgabe lösung 1 lösen sie die gleichung 2 x 4 34 x 32 0 2 x 4 34 x 32 0 2 z 34 z 32 0 substitution mit x z z 17. Deine daten sind bei uns sicher. Lösen sie die gleichung mit substitution: The substitution of this one uses the golden ratio as inflation factor.

Formelsammlung zur Analysis mit Beispielen • Mathe-Brinkmann
Formelsammlung zur Analysis mit Beispielen • Mathe-Brinkmann from www.brinkmann-du.de. Klick hier um mehr zu erfahren!
Integration durch substitution, beispiel mit e^x^2 wenn noch spezielle fragen sind mathe video zur erklärung der nullstellen berechnung mit hilfe der substitution (x²=u). Substitution und biquadratische gleichungen 9. Before you learn this lesson, make sure you understand how to solve linear equations. In algebra, the operation of substitution can be applied in various contexts involving formal objects containing symbols (often called variables or indeterminates); In algebra substitution means putting numbers where the letters are: System of linear equations can also be solved using the substitution method. In welchem fall kann man durch substitution eine gleichung lösen? Inhaltsangabe.info > allgemein > substitution mathe erklärung beispiel nullstellen.

Substitution und biquadratische gleichungen 9. Consider the following augmented matrix for a system of 3 linear equations and 4 unknowns $x_1, x_2, x_3, x_4$ that has already been put into ref The operation consists of systematically replacing occurrences of some symbol by a given value. Provide values using callinfo callback. Die substitution wird unter anderem verwendet. The substitution of this one uses the golden ratio as inflation factor. Mit fünf schritten ist es bei der substitution also meist getan. Lass uns als beispiel die folgende gleichung mit dem substitutionsverfahren lösen: In algebra substitution means putting numbers where the letters are: We will show how with examples. A) one of the constituency tests to define whether a certain constituent is the same 2.3.1 substitution. Fehler in der substitution oder falsche ausgangsfunktion f(x) angegeben. Ihr solltet den formalismus im unterricht begründet haben.

Provide values using callinfo callback. The substitution of this one uses the golden ratio as inflation factor. Denn beispiele verdeutlichen die vorgehensweise in der regel am besten. Lass uns als beispiel die folgende gleichung mit dem substitutionsverfahren lösen: We will show how with examples.

Achsenschnittpunkte von Exponentialgleichungen berechnen ...
Achsenschnittpunkte von Exponentialgleichungen berechnen ... from www.brinkmann-du.de. Klick hier um mehr zu erfahren!
Als substitution bezeichnet man, wenn in einem term ein teil (zum beispiel das in ) durch einen neuen term (z. It is certainly true that this is a cut and project tiling, but to our knowledge, noone bothered to compute the window of it up to now. Substitution und biquadratische gleichungen 9. Als erstes bringst du alles auf eine seite, indem du auf beiden seiten. Unter substitution versteht man in der mathematik allgemein das ersetzen eines terms durch einen anderen mit dem ziel der überführung des ausgangsterms in eine einfach lösbare standardform. In the previous sections we have presented the sentence as structured into a. Übungsaufgaben lösen von gleichungen mit substitution 68 nr aufgabe lösung 1 lösen sie die gleichung 2 x 4 34 x 32 0 2 x 4 34 x 32 0 2 z 34 z 32 0 substitution mit x z z 17. Hier erst mal keine erklärung, aber ein formaler trick

Before you learn this lesson, make sure you understand how to solve linear equations. Mit der mathe trainer app von cornelsen. Mit fünf schritten ist es bei der substitution also meist getan. Versuche die beispiele selbstständig zu lösen, bevor du das lösungsvideo anschaust. Integration durch substitution einfach erklärt aufgaben mit lösungen zusammenfassung als pdf jetzt.in diesem kapitel lernen wir die integration durch substitution (substitutionsregel) kennen. Unter substitution versteht man in der mathematik allgemein das ersetzen eines terms durch einen anderen mit dem ziel der überführung des ausgangsterms in eine einfach lösbare standardform. Mathe lernen durch kurze, auf den punkt mit der substitution kannst du integrale transformieren, in der hoffnung das neu entstandene integral. Hier erst mal keine erklärung, aber ein formaler trick The substitution of this one uses the golden ratio as inflation factor. Inhaltsangabe.info > allgemein > substitution mathe erklärung beispiel nullstellen. Die substitution wird unter anderem verwendet. Denn beispiele verdeutlichen die vorgehensweise in der regel am besten. The operation consists of systematically replacing occurrences of some symbol by a given value.

Substitution Mathe Beispiel: Denn beispiele verdeutlichen die vorgehensweise in der regel am besten.

Artikel Terkait